반응형
안녕하세요 😊
오늘은 전기전자 회로에서 전압을 증폭하고 신호를 처리하는 핵심 소자인
연산 증폭기(Op-Amp, Operational Amplifier)에 대해 알아보겠습니다.
Op-Amp는 오디오 증폭, 센서 신호 증폭, 전압 비교기, 필터링 등
전자 회로의 거의 모든 곳에 사용되는 매우 중요한 부품입니다.
🔌 Op-Amp란 무엇인가요?
연산 증폭기(Op-Amp)는 전압 신호를 증폭하거나, 산술 연산(덧셈, 뺄셈)을 수행하는 전자 소자입니다.
입력된 두 개의 신호 차이를 무한히 증폭하려고 하는 특성을 가지고 있으며,
이 특성을 활용해 스위칭, 신호 처리, 증폭에 사용됩니다.
💡 비유:
Op-Amp는 마치 작은 소리를 크게 들리게 해주는 스피커 앰프와 같습니다.
미세한 신호를 증폭하여 회로에서 사용할 수 있도록 만들어줍니다.
🔧 Op-Amp의 주요 역할
| 역할 | 설명 | 예시 |
| 전압 증폭 | 미세한 전압 신호를 크게 증폭 | 오디오 증폭기, 센서 증폭 |
| 신호 처리 | 덧셈, 뺄셈, 미분, 적분 같은 연산 | 필터, 파형 생성 |
| 전압 비교기 | 두 전압을 비교하여 결과 출력 | 스위칭 회로, 컴퍼레이터 |
| 필터링 | 특정 주파수만 통과시키거나 차단 | 로우패스, 하이패스 필터 |
🧱 Op-Amp의 단자 설명
| 단자 | 설명 |
| + 입력 단자 (Non-inverting, +) | 입력 신호가 증폭될 때 동일한 극성으로 증폭 |
| - 입력 단자 (Inverting, -) | 입력 신호가 증폭될 때 반대 극성으로 증폭 |
| 출력 단자 (Output) | 증폭된 신호가 출력되는 곳 |
| 전원 (V+, V-) | Op-Amp를 구동하기 위한 전력 공급 (+V, -V) |


📐 Op-Amp의 주요 특성
| 특성 | 설명 |
| 무한대 이득 (Infinite Gain) | 입력 신호의 차이를 무한히 증폭하려고 함 |
| 무한대 입력 저항 (Infinite Input Impedance) | 입력에 전류가 거의 흐르지 않음 |
| 0 출력 저항 (Zero Output Impedance) | 출력에서 전압 손실이 거의 없음 |
| 차동 입력 (Differential Input) | 두 입력의 전압 차이를 증폭 |
💡 실무 팁:
Op-Amp는 이론상 무한히 증폭하지만, 실제로는 전원 전압(V+, V-)에 제한됩니다.
🔄 Op-Amp의 기본 회로 예시
✔️ 1. 반전 증폭기 (Inverting Amplifier)
- 입력 신호를 반대 극성으로 증폭합니다.
- 이득(Gain) 값은 저항 비율로 결정됩니다.

예를 들어, 1V의 신호를 -5배 증폭하면 -5V가 출력됩니다.
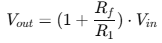
✔️ 2. 비반전 증폭기 (Non-inverting Amplifier)
- 입력 신호와 동일한 극성으로 증폭합니다.
- 증폭 비율은 피드백 저항에 따라 결정됩니다.

예를 들어, 1V의 신호를 5배 증폭하면 +5V가 출력됩니다.
✔️ 3. 전압 비교기 (Comparator)
- 두 입력 전압을 비교하여 더 큰 쪽을 출력합니다.
- 스위칭 회로나 전압 감지에 사용됩니다.
⚡ 실무에서 Op-Amp 활용 예시
| 용도 | 설명 |
| 🎧 오디오 증폭기 | 마이크 신호를 증폭하여 스피커로 전달 |
| 🌡️ 센서 신호 처리 | 온도, 압력, 거리 센서의 미세 신호 증폭 |
| 🔍 전압 비교기 | 두 전압 신호를 비교하여 스위칭 제어 |
| 🎵 오실레이터 | 주기적인 파형(사인파, 삼각파) 생성 |
🧠 오늘의 요약
- Op-Amp는 전압 증폭과 신호 처리의 핵심 소자입니다.
- 반전/비반전 증폭기, 전압 비교기 등 다양한 회로를 만들 수 있습니다.
- 매우 높은 증폭 능력과 입력 저항으로 센서, 오디오, 전압 처리에 자주 사용됩니다.
- 간단한 회로 구성만으로도 큰 신호 증폭이 가능해 매우 유용합니다.
📌 다음 글 예고
다음 시간에는 로직 게이트(Logic Gate)에 대해 알아보겠습니다.
디지털 회로에서 AND, OR, NOT과 같은 논리 연산을 수행하는 기본 블록입니다!
읽어주셔서 감사합니다 😊
유익했다면 댓글과 공감 부탁드려요!
반응형
'회로에 흐르는 생각들 – 전기전자, 알고 쓰는 법' 카테고리의 다른 글
| [전기전자 기초 #13] 시프트 레지스터(Shift Register)의 모든 것 | 데이터의 이동과 저장 (0) | 2025.05.21 |
|---|---|
| [전기전자 기초 #10] 로직 게이트(Logic Gate)의 모든 것 | 디지털 회로의 기초! (0) | 2025.05.21 |
| [전기전자 기초 #8] 트랜지스터(Transistor)의 모든 것 | 전류 증폭과 스위칭의 핵심! (1) | 2025.05.19 |
| [전기전자 기초 #7] 다이오드(Diode)의 모든 것 | 전류의 일방통행! (0) | 2025.05.18 |
| [전기전자 기초 #6] 인덕터의 모든 것 | 에너지 저장부터 필터링까지 완전 정리! (0) | 2025.05.17 |