안녕하세요 😊
오늘 배울 내용은 아날로그 신호를 디지털로 변환하여 분석하고 처리하는 기술입니다.
그럼 바로 디지털 신호 처리(DSP, Digital Signal Processing) 에 대해 알아보겠습니다.
✅ 디지털 신호 처리(DSP, Digital Signal Processing)란?
디지털 신호 처리(DSP, Digital Signal Processing)는 아날로그 신호를 디지털로 변환하여 분석하고 처리하는 기술입니다.
소리, 영상, 센서 데이터 같은 아날로그 신호를 0과 1의 디지털 신호로 변환한 후,
필터링, 증폭, 분석 등의 작업을 수행합니다.
💡 비유:
DSP는 마치 사진 보정 소프트웨어처럼
원본 데이터를 수정하고 개선하는 역할을 합니다.
🔌 디지털 신호 처리의 주요 특징
| 특징 | 설명 |
| 정확한 신호 분석 | 디지털 값으로 변환하여 오차 감소 |
| 잡음 제거 | 필터링을 통해 불필요한 노이즈 제거 |
| 압축 및 변환 | 데이터 용량 축소 및 변환 가능 |
| 실시간 처리 | 빠른 연산을 통해 즉시 반응 가능 |
🎨 디지털 신호 처리의 주요 용도
| 용도 | 설명 |
| 오디오 처리 | 소리 증폭, 노이즈 제거, 에코 보정 |
| 영상 처리 | 이미지 보정, 해상도 향상, 필터링 |
| 통신 신호 처리 | 신호 증폭, 왜곡 보정, 에러 수정 |
| 센서 데이터 분석 | 온도, 압력, 거리 측정 신호 처리 |
| 의료 장비 | 심전도 분석, 초음파 이미지 처리 |
🎨 DSP의 처리 과정
1️⃣ 아날로그 신호 입력: 센서, 마이크 등에서 입력된 아날로그 신호
2️⃣ 샘플링 (Sampling): 일정 시간 간격으로 신호를 디지털화
3️⃣ 양자화 (Quantization): 아날로그 값을 이진수로 변환
4️⃣ 필터링 (Filtering): 잡음 제거 및 신호 보정
5️⃣ 디지털 신호 출력: 증폭된 신호나 보정된 신호 출력
🔄 필터 설계(Filter Design)란?
필터(Filter)는 원하는 신호만 통과시키고, 불필요한 신호를 제거하는 회로입니다.
주파수 대역에 따라 저주파 통과(Low Pass), 고주파 통과(High Pass), 대역 통과(Band Pass), 대역 제거(Band Stop)로 구분됩니다.
💡 비유:
필터는 마치 커피 필터처럼 원하지 않는 이물질(잡음)을 걸러내고
필요한 신호만 깨끗하게 남겨줍니다.
🎨 필터의 종류
| 필터 종류 | 설명 | 활용 에시 |
| 저주파 통과 필터 (Low Pass Filter) | 낮은 주파수 신호만 통과 | 오디오 스피커, 저음 보강 |
| 고주파 통과 필터 (High Pass Filter) | 높은 주파수 신호만 통과 | 노이즈 제거, 에지 검출 |
| 대역 통과 필터 (Band Pass Filter) | 특정 주파수만 통과 | 무선 통신, 라디오 수신 |
| 대역 제거 필터 (Band Stop Filter) | 특정 주파수만 제거 | 잡음 억제, 하모닉 제거 |
✔️ 필터의 응답 특성
| 특성 | 설명 |
| 컷오프 주파수 (Cutoff Frequency) | 필터링이 시작되는 주파수 |
| 대역폭 (Bandwidth) | 통과되는 주파수의 범위 |
| 롤오프 (Roll-off) | 필터링 강도, 경사도 조절 |
🎨 필터 회로의 예시
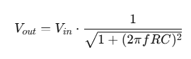
✔️ 저주파 통과 필터 (Low Pass Filter)
- 설명: 낮은 주파수만 통과시키고, 높은 주파수는 제거
- 구성: 저항(R)과 커패시터(C) 조합
- 예시: 오디오 신호에서 노이즈 제거
수식 표현

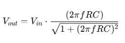
✔️ 고주파 통과 필터 (High Pass Filter)
- 설명: 높은 주파수만 통과시키고, 낮은 주파수는 제거
- 구성: 저항(R)과 커패시터(C) 조합
- 예시: 영상 신호의 에지 검출
수식 표현

🔄 실무에서의 DSP와 필터 활용
| 용도 | 설명 |
| 노이즈 캔슬링 헤드폰 | 외부 소음 제거 및 깨끗한 음질 |
| 의료용 초음파 장비 | 신호 증폭 및 잡음 제거 |
| 스마트폰 통화 품질 개선 | 음성 신호 필터링 |
| 자동차 센서 데이터 처리 | 거리 측정 및 장애물 탐지 |
| CCTV 영상 보정 | 해상도 개선 및 노이즈 감소 |
🧠 오늘의 요약
- DSP (Digital Signal Processing)는 아날로그 신호를 디지털로 변환하여 분석하고 처리하는 기술입니다.
- 필터 (Filter)는 원하지 않는 신호를 제거하고 필요한 신호만 통과시키는 역할을 합니다.
- 필터는 저주파 통과, 고주파 통과, 대역 통과, 대역 제거로 나뉘며,
오디오, 영상, 통신, 의료 장비에 널리 사용됩니다. - 노이즈 캔슬링, 영상 보정, 센서 데이터 분석에 DSP가 핵심 역할을 합니다.
📘 한번 더 정리
🔄 디지털 신호 처리의 주요 용도
- 오디오 처리: 잡음 제거, 에코 보정
- 영상 처리: 해상도 개선, 이미지 보정
- 통신 신호: 왜곡 보정, 신호 증폭
- 센서 분석: 온도, 압력, 거리 측정
🔄 필터 설계 (Filter Design)
- 저주파 통과 (Low Pass): 낮은 주파수만 통과
- 고주파 통과 (High Pass): 높은 주파수만 통과
- 대역 통과 (Band Pass): 특정 주파수만 통과
- 대역 제거 (Band Stop): 특정 주파수만 제거
DSP와 필터 설계는 필터링, 증폭, 분석 을 수행하여, 노이즈 캔슬링, 음향 처리, 영상 보정 등
우리의 일상에서 다양한 기술적 역할을 수행합니다.
📌 다음 글 예고
다음 시간에는 ADC (Analog to Digital Converter)와 DAC (Digital to Analog Converter)에 대해 알아보겠습니다.
읽어주셔서 감사합니다 😊
유익했다면 댓글과 공감 부탁드려요!